3번 문제

<3번 문제 소스코드 해석>
<3번 문제 풀이>

흰색타일을 누르면 검정색 타일로 색칠이 된다. 퍼즐을 풀어 solved 버튼을 누르면 아마 퀴즈를 풀 수 있는 형태인 것같다.
왼쪽과 위의 숫자들이 그 라인에 존재하는 검은색 타일의 개수를 의미하는 것같다. 퀴즈를 풀면 해당 창이 뜬다.

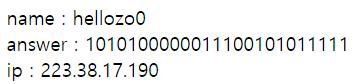
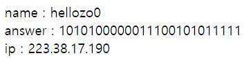
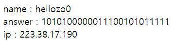
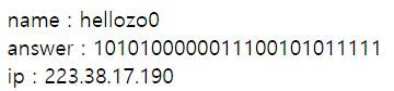
-해당 칸에 아무거나 적고 submit을 누르니 해당 내용이 떴다.

- answer값은 name을 적는 창의 URL을 확인하면 GET방식으로 넘어가는 1~25 인자 각각의 값들을 연결한 값과 answer의 인자의 값이 같음을 확인 할 수 있다.

- URL

- name의 id는 10의 길이만큼의 문자열을 사용하도록 되어있음을 확인할 수 있다.
또한 name 폼에 입력한 값은 문자열로 처리된다.
그리고 hidden 필드로 answer 값이 전달되는 것을 알 수 있고, value는 무조건 고정이다.
- value 값뒤에 SQL injection을 사용해 문제풀기를 시도해봤다.

#SQL injection
- SQL inhection이란 악의저인 사용자가 보안상의 취약점을 이용하여, 임의의 SQL문을 주입하고 실행되게 하여 데이터베이스가 비정상적인 동작을 하도록 조작하는 행위이다.
그 중 논리적 에러를 이용한 SQL injection방법이 가장 많이 쓰인다.

'Back-end > Web hacking' 카테고리의 다른 글
| 웹해킹 14번 문제 (0) | 2020.09.05 |
|---|---|
| 웹해킹 17번 문제 (0) | 2020.09.05 |
| 웹해킹 16번 문제 (0) | 2020.09.05 |
| 웹 해킹 10번 문제 (0) | 2020.09.05 |
| 웹해킹 1번문제 (0) | 2020.09.05 |
댓글